Section 6.4 Calculs de quelques sommes avec Abel
La sommation d'Abel repose sur la représentation des séries qu'on veut faire converger par des fonctions, dont on espère qu'elles ont une limite en \(1\text{.}\)
Un avantage des fonctions, par rapport aux suites, c'est que si elles ne sont pas trop bizarres, on dispose d'un arsenal conséquent d'outils pour les étudier. Et dans cet arsenal, une des armes les plus puissantes, c'est la \(dérivation\text{:}\)
Une brave fonction \(f:I\rightarrow \R\) est dérivable en \(x_0\) si le taux d'accroissement
converge vers quelque chose quand \(h\rightarrow 0\) 1 . Dans ce cas, ce quelque chose s'appelle \(f'(x_0)\text{.}\)
Et si ça marche quel que soit \(x_0\in I\text{,}\) on récupère ainsi une nouvelle fonction \(x\in I \mapsto f'(x)\) qu'on appelle la dérivée de \(f\) et qui permet, entre autres, d'étudier les variations de \(f\text{.}\)
La bonne nouvelle, c'est que les fonctions à la Niels se laissent dériver sans heurts, et même plusieurs fois de suite, et nous permettent, à partir d'une somme qu'on connaît, d'en trouver tout un tas d'autres.
Commençons donc par vérifier que ces polynômes, bien qu'infinis, sont gentiment dérivables.
Remarquons déjà que les polynômes tout court le sont: les fonctions \(x\mapsto 1,x\mapsto x, x\mapsto x^2,...\) sont dérivables, avec
et de là, un polynôme quelconque, mettons de degré \(d\text{,}\) est dérivable:
Ou, pour l'écrire sous un format plus transportable
(On peut faire commencer la somme de droite à 0 ou à 1, selon ce qui nous arrange: de toute façon pour \(k=0\) le terme \(ka_kx^{k-1}\) donne 0)
Avec un peu de chance, on peut tout simplement remplacer \(d\) par \(+\infty\text{:}\) un calcul de séries entières
nous donnerait du coup
\(\leadsto\) Si \(f'(x)\) nous fait le plaisir d'avoir une limite quand \(x\rightarrow 1\text{,}\) on pourrait en déduire la Abel-somme de la série \(\sum na_n\) (qui semble pourtant diverger encore plus férocement que \(\sum a_n\)) 2
Exercice 6.4.1. Vérifions qu'on a un peu de chance.
On part donc d'une fonction "polynôme infini" du genre auquel Abel s'intéresse:
On va montrer que la fonction \(f\) est dérivable sur \(\lbb -1,1\rbb\text{,}\) et que
(a)
Commençons par vérifier que la somme de droite
existe pour tout \(x\in \lbb -1,1 \rbb\text{.}\)
Commencer par choisir un \(x_0 \in \lbb -1, 1 \rbb\) et un \(r\) tel que \(|x_0|\lt r \lt 1 \) 3 . En utilisant la tradiconvergence de \(\sum a_n x^n\text{,}\) montrer que pour une constante \(M_1 \gt 0\) choisie avec goût,
Plus qu'à montrer que la série \(\sum n \left(\frac{|x_0|}{r}\right)^n \) tradiconverge !
Pour ça, montrer qu'on peut majorer \(n \left(\frac{|x_0|}{r}\right)^n \) par \(\frac{M_2}{n^2}\text{,}\) pour une certaine constante \(M_2\text{.}\)



(b)
Maintenant qu'on est sûrs de ne pas aller dans le mur, il s'agit de montrer que le taux d'accroissement
tend vers \(\sum_{n=0}^\infty na_n x^{n-1}\) quand \(h\rightarrow 0\text{.}\)
Commençons pas nous faire une idée de la tête de ce taux d'accroissement: montrer que
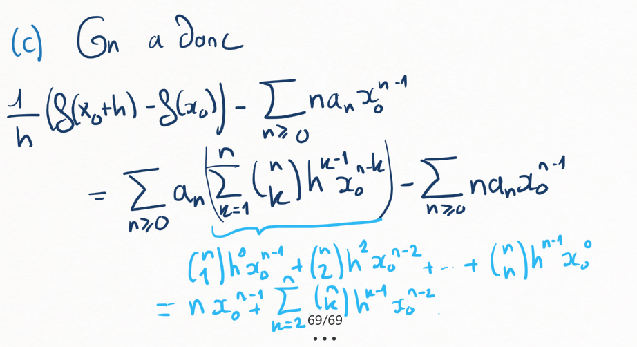
(c)
En déduire que
(d)
On se retrouve donc à étudier
Montrer qu'on peut trouver \(\alpha \gt 0\) tel que \((1+\alpha)|x_0| \lt 1\text{.}\)
(e)
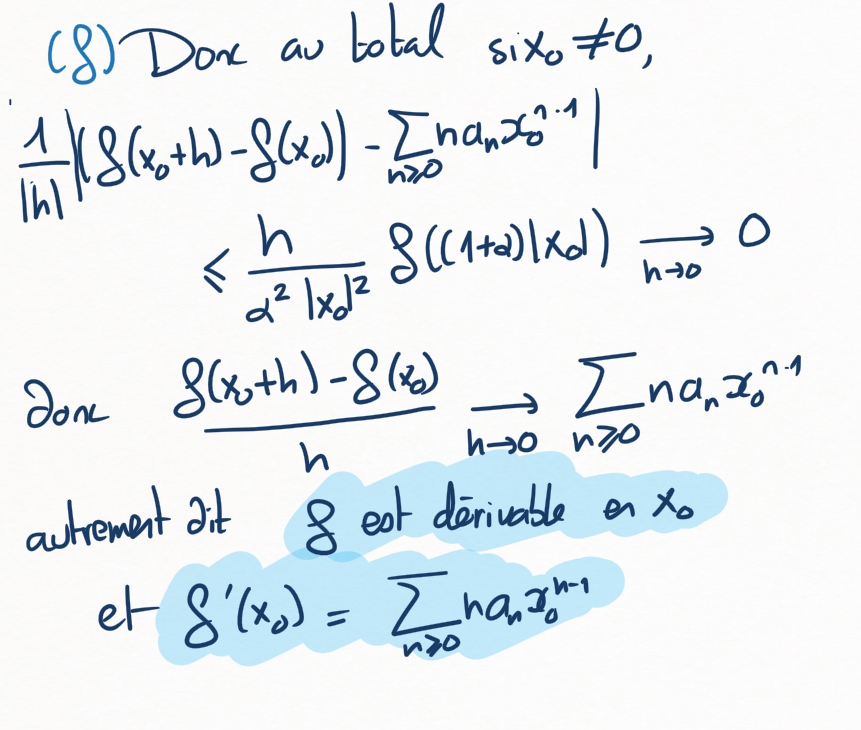
En déduire que, pour tout \(n\text{,}\) si on prend \(x_0\neq 0\) et \(h\) suffisamment petit pour que \(|h| \lt \alpha |x_0|\text{,}\) alors
En déduire que
est convergente (vers quoi, d'ailleurs ?)
Question bonus: Est-ce un problème que ça ne marche que si \(h\) est assez petit ?
(f)
Conclure pour le cas où \(x_0\neq 0\text{,}\) ce qui est le gros du travail !
(g)
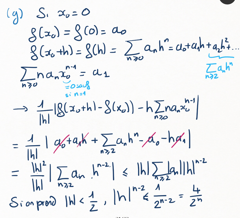
Et si \(x_0=0\) ?
Montrer que, si on prend \(h\in\lbb -\frac12, \frac12 \rbb\text{,}\)
Et conclure conclusivement.
Du coup, si on connaît la fonction \(f(x)\) et qu'on sait la dériver, on va pouvoir en déduire d'autres sommes.
Notamment, on avait vu 4 que les sommes alternées
sont \((\mathcal C,p)\)-convergentes, mais on n'avait pas pu trouver leur \((\mathcal C,p)\)-somme.
Du coup, toutes ces sommes sont aussi \((\mathcal A)\)-convergentes; est-ce que Niels peut nous les calculer ?
Exercice 6.4.2. Calcul de quelques \(1^p-2^p+3^p-4^p+...\).
Partons de notre série divergente préférée: la somme de Grandi \(\sum (-1)^n\text{.}\)
Avec Abel, on avait introduit la fonction
(a)
Montrer que, pour tout \(x \in \lbb -1,1\rbb\text{,}\)
En déduire que \(\sum (-1)^n (n+1)\) est Abel-convergente, et que
Qu'est-ce que ça donne si on dérive chaque terme de
avec la formule obtenue au Exercice 6.4.1 ?


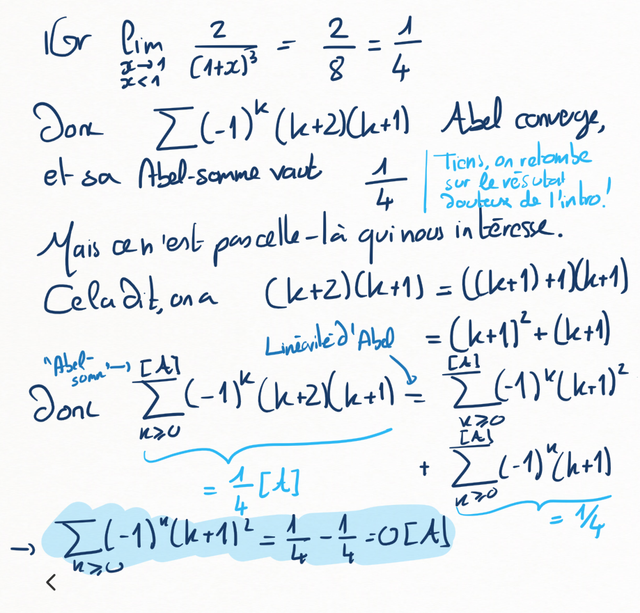
(b)
Montrer que, pour tout \(x \in \lbb -1,1\rbb\text{,}\)
En déduire que \(\sum (-1)^n (n+1)^2\) est Abel-convergente, et que
A nouveau, utiliser la formule du Exercice 6.4.1 pour re-dériver
Ca ne donne pas exactement ce qu'on veut, mais d'un autre côté on a déjà calculé
et on peut s'en servir !


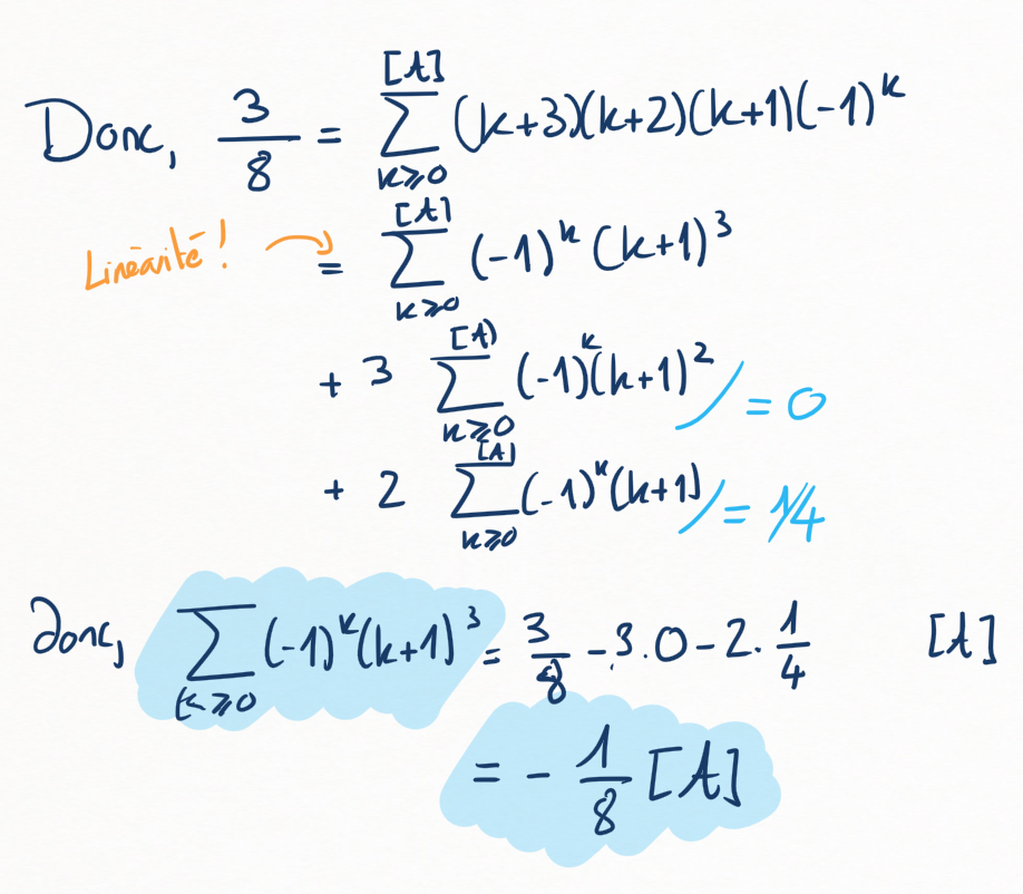
(c)
Une autre pour la route : calculer la \((\mathcal A)\)-somme de la série
et se convaincre qu'un (long) dimanche après-midi pluvieux, on pourrait trouver un paquet de \(\sum (-1)^n (n+1)^p\) comme ça.
(d)
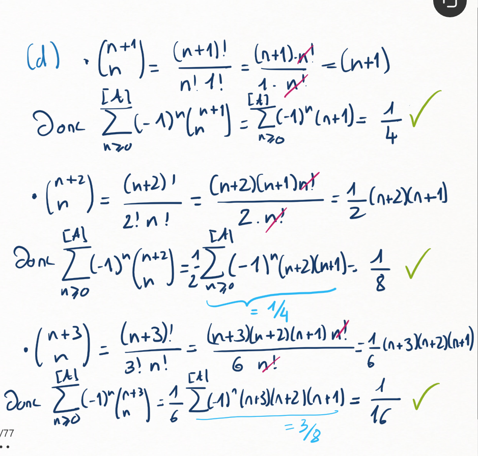
A l'époque des Cesàro-sommes, on avait aussi obtenu les sommes alternées des coefficients binomiaux (dans la douleur):
A l'aide des questions précédentes, retrouver
et constater avec soulagement qu'on ne semble pas avoir trop déliré en comparant Abel avec Cesàro.
(e)
En dérivant avec enthousiasme, montrer plus généralement que
Quelle est la dérivée de
et du coup quelle est la fonction qu'on trouve en dérivant \(p\) fois
Et d'un autre côté, qu'est ce que ça donne si on dérive \(p\) fois de suite
en particulier ?




La dérivation allègre et répétée nous permet ainsi, par récurrence, de calculer les sommes alternées
Mais on peut en fait trouver une formule explicite 5 , qui donne leur valeur sans avoir à calculer toutes les précédentes. Cette formule fait intervenir les mystérieux nombres de Bernoulli. Faisons donc un détour pour voir de quoi il s'agit, en compagnie d'un alchimiste et de l'héritier d'une familel de samourais.
carolinevernier.website/pretext_series_divergentes/section-5.html#exercises-6












